为配合学校扎实做好2021年国家励志奖学金评审工作,确保品学兼优的家庭经济困难学生切实得到奖励和资助,现根据《91成人
本科生国家奖学金国家励志奖学金国家助学金管理实施细则》(江大校〔2020〕108号)《91成人
家庭经济困难本科生资助管理实施办法》(江大校〔2021〕163号)《91成人
做好2021年本科生国家励志奖学金评审工作的通知》(江大校〔2021〕42号),将91成人
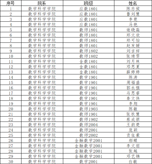
拟推荐结果公示如下:

公示三天,有异议的师生可以到数科院203办公室,或者致电0511-88780160进行咨询,联系人:尹老师。
91成人
2021年10月21日